Диффузор скрытого монтажа PV для подвесного потолка
- Добавлено в избранное
- Задать вопрос
- Добавлено в избранное
- Задать вопрос
Диффузор скрытого монтажа PV для подвесного потолка

Диффузор скрытого монтажа PV для подвесного потолка
Линейные щелевые диффузоры скрытого монтажа PV серии ProfIVent используются в системах приточно-вытяжной вентиляции и кондиционирования. Предназначены для скрытой установки в подвесные потолки или в стены из гипсокартона и металлокаркаса.
Особенности диффузора PV:
- Наличие монтажных консолей, которые обеспечивают плотное прилегание решетки к гипсокартонной плите без необходимости в монтажной раме.
- Дефлектор для регулирования воздушного потока от вертикального до горизонтального направления.
- Скрытые центральные ламели под финишную отделку.
- Модульная сборка позволяет создавать непрерывную линию по всему периметру помещения.
- Лаконичные линии позволяют достичь эстетического совершенства.
- Рекомендуемый максимальный размер диффузора 3000 мм, минимальный 300 мм.
Профиль: экструдированный алюминиевый профиль АД31 по ГОСТ 22233-2018.
Покрытие: полимерно-порошковое окрашивание.
Цвет: любой цвет по каталогу RAL Classic (рекомендуется черный RAL 9005).
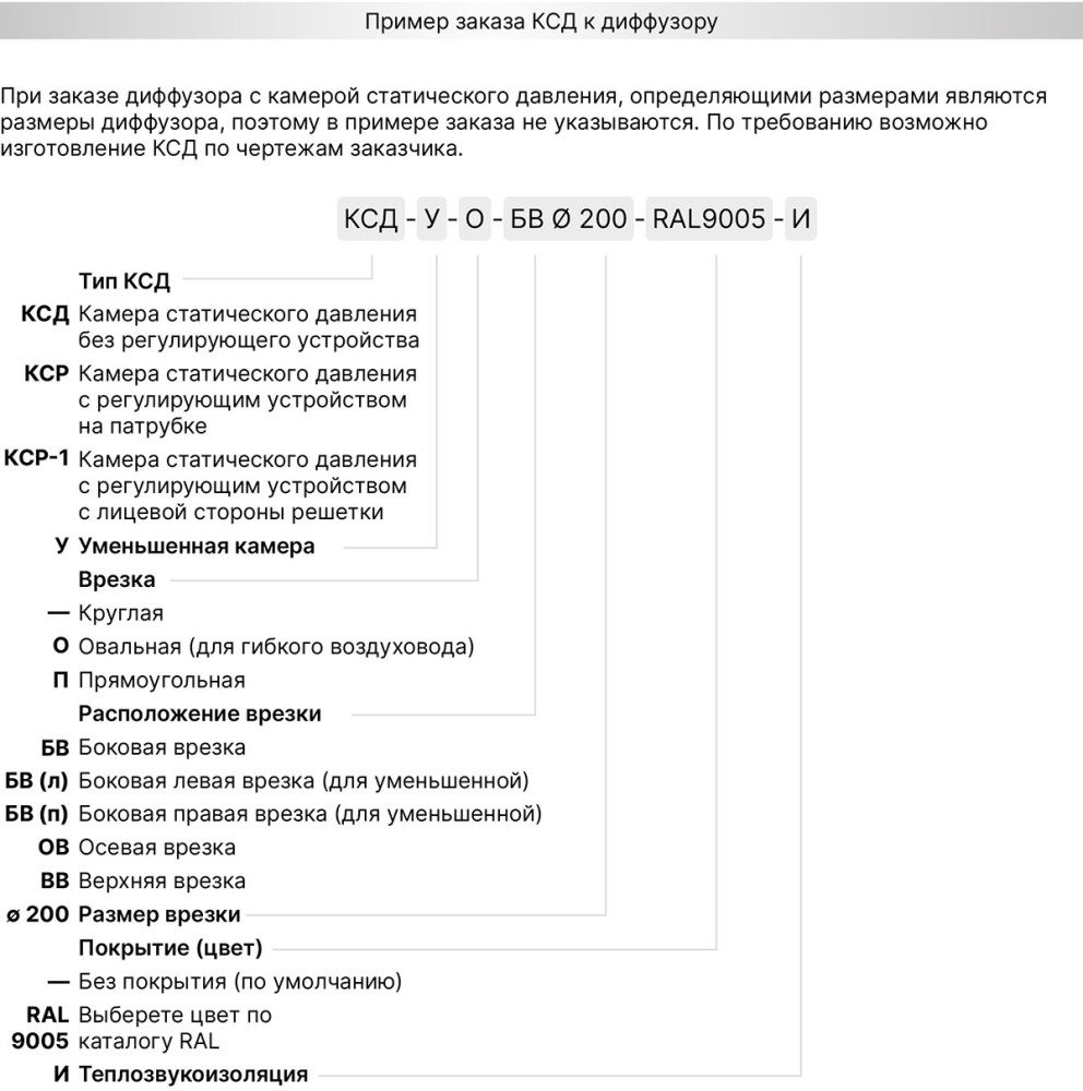
Для подключения к системе вентиляции и кондиционирования используется камера статического давления (адаптер) - КСД или КСР.
⚠ В комплект с решеткой не входит и заказывается отдельно.
Камера статического давления является элементом систем вентиляции и кондиционирования воздуха, они обеспечивают равномерное распределение воздушных масс через сечение решетки. КСД состоит из стального корпуса с круглым патрубком для подсоединения к воздуховоду. КСР дополнительно оснащены устройством, регулирующим объем подаваемого воздуха, которое устанавливается во входном патрубке.
Статическая камера изготавливается из оцинкованной листовой стали 0,4 - 1,5 мм в зависимости от размера и пожелания заказчика. По умолчанию КСД поставляются в неокрашенном виде.

Типы КСД:
- КСД - стандартная камера с круглой врезкой;
- КСД-У - уменьшенная камера с круглой врезкой;
- КСД-У-О - уменьшенная камера с овальной врезкой;
- КСД-У-П - уменьшенная камера с прямоугольной врезкой.
Уменьшенная камера статического давления позволяет максимально сохранить полезную площадь помещения за счет уменьшения монтажного пространства.
Размер монтажного пространства (W) напрямую зависит от размера подключаемого воздуховода - чем меньше воздуховод, тем меньше адаптер для диффузора. В каталоге приведены рекомендуемые размеры воздуховода, но по запросу заказчика возможно изготовить адаптер с любой врезкой.






Диффузоры PV предназначены для скрытой интеграции в подсистему из металлического каркаса и гипсокартона (ГКЛ) толщиной 12.5 мм и устанавливаются вместе с камерой статического давления на этапе черновой отделки. Диффузор крепится к горловине КСД с помощью винтового соединения или заклепок. После монтажа и финишной отделки остаются видимыми только щели. По завершению из щелей диффузора удаляются защитные вкладки из поролона, предотвращающие попадание пыли во время проведения монтажных работ.
В случае монтажа непрерывной конструкции, необходимо устанавливать в места соединения выравнивающие пластины - коннекторы (входят в комплект поставки модульных секций).

Конфигурация диффузора. По требованию заказчика возможно изготовить диффузоры радиусной формы или угловые для модульной сборки непрерывной линии по всему периметру. При установке системы вентиляции в радиусные стены, ниши, арочные своды требуются диффузоры и адаптеры аналогичной изогнутой формы заданного радиуса.







Характеристики
-
ПроизводительООО "ЗАВОД ВРК"
-
Серия решеткиProfivent
-
Вид решеткиЩелевые
-
Способ монтажаСкрытого монтажа
-
КонструкцияНеразборная
-
РегулировкаРегулируемая
-
ФормаПрямоугольные
-
МатериалАлюминий
-
БрендTHE GRILLES
-
Количество щелей1 щель и более
-
Этап установкиМонтаж с нуля
-
Тип монтажаВ гипсокартон
Особенности
Чертеж
Отзывы
Отзывов нет. Станьте первым, кто оставит отзыв!
Пример заказа
- Похожие товары
- Смотрели ранее
- Хиты продаж
- Распродажа
- Популярное
Способы монтажа
Мы располагаем огромными возможностями и выбором
Получите консультацию
Оставьте свои контактные данные и мы вам перезвоним!